从线性思考到非线性思考
给大家讲写作文和编辑视频这两个故事,是想说明线性与非线性的巨大差别。现实生活中类似的例子不胜枚举,计算机的数据结构是对现实生活的高度抽象,线性结构在计算机的数据结构中称为线性表,比较典型的线性表有数组、堆栈和队列;但复杂问题往往需要借助非线性结构来实现,如树和图,我们每天使用的网上地图背后使用的就是非线性结构。
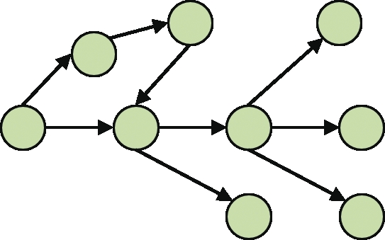
人类的思维同样可以分为线性思维和非线性思维两种。一般来讲,线性思维是一种直线的、单向的、单维的、缺乏变化的思维方式,如逻辑思维;非线性思维则是相互连接的,非平面、立体化、无中心、无边缘的网状结构,类似于人的大脑结构和血管组织,如发散性思维、系统思维。这两种思维模式虽然存在着巨大的差别,但却无优劣之分,它们之间各有利弊。线性思维有助于深入思考,探究到事物的本质(见图8);非线性思维有助于拓展思路,看到事物的普遍联系。总体而言,非线性思维是为了支持线性思维的深入进行,线性思维是最终目的,而非线性思维是辅助手段(见图9)。

图8 线性思维示意图

图9 非线性思维示意图
然而,由于线性思维的简捷性和经济性,人们对线性思维产生了很强的依赖,从而忽视了非线性思维的存在。直到20世纪80年代末,才有学者首次提出了非线性思维的概念,将其从线性思维的模糊模型中抽离出来。而随着信息时代飞速发展,科技的快速进步,大量的、高难度的信息摄入人脑,信息超载使线性思维不发展,科技的快速进步,大量的、高难度的信息摄入人脑,信息超载使线性思维不堪重负,而非线性思维正好解决了这个问题,使得大数据与复杂系统的处理变得简单、快捷、高效。
人的思考过程本身是线性与非线性并举的,它们相互依存,相互促进。人类的知识结构本身则以非线性为主。语言和文字的发明是人类几千年文明得以传承的重要载体,然而,遗憾的是语言和文字都是线性的。这样一来,线性的语言和文字在很大程度上成为人类思考的桎梏,在很大程度上束缚了思考的进行,在信息过载时让人脑显得力不从心。因此,我们需要借助非线性思考工具重新放飞我们的思考。
思维导图正是这样一种非线性思维工具,帮助人们在很大程度促进思维的发散,拓宽思维的广度。
|